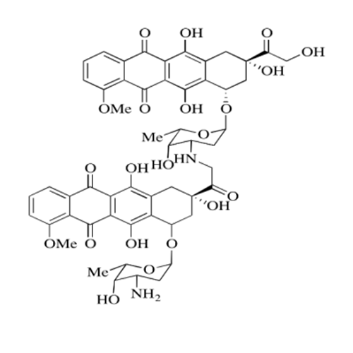
Doxorubicin Dimer Impurity 3
| Name of Impurity/Standard | Doxorubicin Dimer Impurity 3 |
| CAS No. | - |
| Molecular Formula | C₅₄H₅₈N₂O₂₂ |
| Molecular Weight | 1087.04 g/mol |
| Synonyms: (S,R,R,S,8S,8'S,10S,10'S)-8,8'-(4-Hydroxy-2-(hydroxymethyl)-1,3-dioxolane-2,4-diyl)bis(10-(((2R,4S,5R,6S)-4-amino-5-hydroxy-6-methyltetrahydro-2H-pyran-2-yl)oxy)-6,8,11-trihydroxy-1-methoxy-7,8,9,10-tetrahydrotetracene-5,12-dione); | |
